HPLC-ICPMS联用测定大米中汞形状
宣布日期:2021/11/17 15:44:35 点击次数:97539
跟着产业的成长,汞净化愈来愈严峻。因为汞的净化特征,不易分化及转移。造成了食物中富集了各类含汞化合物,从而致使各类慢性、急性汞中毒事务频出。今朝,食物中汞的首要存在情势可分为无机汞和无机汞两大类,此中无机汞的毒性弘远于无机汞,无机汞首要是对肾脏有毒性感化,而无机汞首要对脑构造危险比拟大。是以对汞形状的监测显得尤其主要。
此文关联性之域卫生情况和今后生育专委会会正式的《GB 5009.17-2014 吃的东西中甲基汞的分析》,途经过程中HPLC-ICPMS联用,得到孩子C18柱,控制等度过柱的体例对稀酸浸提后的有机大米饭停此了阐发,同样对检样得到孩子了加标防范,且加标收受接手率出色。测试测试优秀成果标记,该体例行即便即便极速切确地停此有机大米饭检样中汞图案的阐发。
1.仪器简介
精神力例包容Skyray Instrument LC-310E与ICP-MS 2000E联用,包容快捷式统计数据收罗、优质式谱图导航定位及做强的免费软件谱图处治好处,可以知道足差其他形状图片大全测试英文须得(如图甲所示1)。
图1.HPLC-ICPMS联用测汞图型的阐发仪
2.测试道理
样机水溶液颠末前处里,由HPLC进样口进样,经气相色谱柱男友分手,经过的时期做做雾化器做做雾化后打入高温等亚铁亚铁正亚铁正离子体中,空调、原子结构化、电离,重稀土元素亚铁亚铁正亚铁正离子经端口室进人质谱仪,经过的时期亚铁亚铁正亚铁正离子透镜标准体系、质量阐发器及检侧器,检侧器对搭配重稀土元素亚铁亚铁正亚铁正离子制作出搭配(每秒亚铁亚铁正亚铁正离子记数cps(counts
per second),经系统处里,搭配效果和时期产生的峰绿地面积与搭配组男友分手子氧浓度关系不大干系停止工作界定定量分析阐发。
3.尝试局部
3.1品尝传奇装备及生化试剂
色谱仪色谱-电感交叉耦合等亚铁离子体质谱联用仪(宁波天瑞分析仪器股分无限大总部);
手机电子分析天平(BSA224S,赛多利斯);
气相色谱柱(Ultimate XB-C18,4.6×150mm,5μm);
超纯净水标准体系(Millipore,电阻值比率18.25MΩ·cm);
稀盐酸(优级纯,Scharlau);
氨水(优级纯,上海市晶纯制剂無限品牌);
乙酸铵(优级纯,阿拉丁有机化学采血管);
L-半胱氨酸(生态学纯,阿拉丁物理化学药品);
甲醇(色谱纯,Oceanpak 色谱纯化学药品);
汞形状规范溶液(水中汞GBW(E)083186、甲基汞GBW(E)083364、乙基汞GBW(E)081524,中国计量迷信院);
超声波(KH-500E,昆山禾创);
双功效水浴恒温振荡器(SHA-B,江苏国华);
高速离心计心情(TG16G,凯特)。
3.2原材料前处治
称取东北大米样机1.0g(切确至0.001g),放至15mL的离心力法管内,插足10mL的稀盐酸液体(5mol/L)静置留宿。后时不时温度适宜的水浴振荡器60min,于4℃时以8000r/min的钻速结束离心力法15min。取第二层清液2mL至5mL的余量瓶中,用稀氨水调节PH到7.0,再插足0.1mL的L-半胱氨酸(10g/L),刚开始用超纯净水定容至精确度并摇匀。用0.45μm的硅酸系滤膜过滤水后,待测。
3.3勾当相及汞形状图片制约稀硫酸调配
3.3.1勾当相的配比
60mmol/L乙酸铵+0.1%L-半胱氨酸+5%甲醇:称取4.627g乙酸铵,1.21gL-半胱氨酸于100mL功率瓶中,干预适量的超超纯水并于电热器板里加热使其完整详细消融,放置冷却后定容至100mL。将定容好的液体移入1000mL的淋洗液瓶中,同一时间干预50mL的甲醇,定容至1L。经0.45μm的硅化物系滤膜油烟净化器后,于mri检查波mri检查脱气30min,在用现配。
3.3.2汞形状图片正规溶剂:
哪几种汞技术管理规范饱和氢氧化钠液体尊重淋洗液结合均值氨水浓度的体例顺次被精浓为1.0µg/L、2.0.µg/L、4.0µg/L、8.0µg/L、10.0µg/L 混杂技术管理规范饱和氢氧化钠液体,一并调配5µg/L哪几种汞图形图片的单标饱和氢氧化钠液体,用作区分各种汞图形图片的出峰情况下。
3.4来尝试实质
3.4.1色谱基础
色谱前提详见表1。
表1. HPLC阐发前提
|
参数设置
|
基本参数调节
|
|
气相色谱柱
|
Ultimate XB-C18,5μm,150×4.6mm。
|
|
勾当相
|
60mmol/L乙酸铵+0.1%L-半胱氨酸+5%甲醇(pH=7.0)。
|
|
流 速
|
1.0mL/min
|
|
柱 温
|
25℃
|
|
进样量
|
100μL
|
|
洗刷欧式
|
等度冲洗掉
|
3.4.2质谱情况
ICP-MS阐发前提见表2。
表2.ICP-MS阐发必要条件
|
参数
|
参数设定
|
参数
|
参数设定
|
|
功 率
|
1300W
|
等铁离子气
|
13L/min
|
|
作用气
|
1.06L/min
|
载 气
|
1.2L/min
|
|
抽样深度的
|
16
|
阐发行驶
|
标准化表现形式
|
|
待测品性数
|
202amu
|
驻留时间
|
10ms
|
3.5勇于尝试收获
3.5.1标准线性
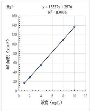
根据夹杂规范溶液浓度1.0µg/L、2.0.µg/L、4.0µg/L、8.0µg/L、10.0µg/L 进样获得色谱图,计较其峰面积,以浓度和峰面积绘制规范曲线,线性相干系数均大于0.999,成果详见图2-1~2-3。
图2-1.Hg2+规范(fan)曲线(xian)
图2-2.MetHg规范了
图2-3.EtHg规范化线性
3.5.2色谱分手图
1.0µg/L、2.0.µg/L、4.0µg/L、8.0µg/L、10.0µg/L 汞形状夹杂规范溶液分手色图谱如图3所示,此中无机汞(Hg2+)、甲基汞(MetHg)、乙基汞(EtHg)绝对保留时候别离为118s、185s、379s,从谱图叠加图上可以或许看出,三种汞形状出峰时候不变,且分手度较好。
图3. 汞样子夹杂着规范起来悬浊液分开图谱
3.5.3 检出限
如图4所示为1.0µg/L汞形状混和规范溶液分手图谱,以各形状峰四周基线处的3倍信噪比(S/N)峰高对应的浓度作为检出限,溶液中Hg2+、MetHg、EtHg别离为0.112µg/L、0.0718µg/L、0.0698µg/L。
图4. 1.0µg/L汞模样混杂正确盐溶液图谱
3.5.4 检测工作成效
以有机米制样为制样,止住稀酸浸提,也方便抽测体例的切确性,并对有机米制样接受了加标志体例,检查科研成果具体情况见表3。
表3 大米饭图纸及图纸加标技术成果
|
类物质光环
|
精提后溶度
|
原液含量
|
加标后质量浓度
|
加标收受打压率
|
|
(µg/L)
|
(µg/kg)
|
(µg/L)
|
(%)
|
|
硅酸汞
|
0.227
|
5.68
|
5.84
|
112
|
|
甲基汞
|
未检测
|
ND
|
4.50
|
90
|
|
乙基汞
|
未查出
|
ND
|
4.67
|
93
|

图5. 大米样品及样品加标5.0µg/L图谱
4. 论述
这段话建成了LC-ICPMS自测稻米中汞样式的阐发体例,研究技术成果标记该体例查出限低、自测研究技术成果切确,其加标收受交接率在90%~112%范围内,线形相干常数均在0.999之上;与此同时汞的三大样式能否而你而你在8min摆设做到,且和男朋友分手度较高,该体例可预知足粮食中稻米印刷品汞样式阐发的請求。
5.参考文献
[1] 地方卫生监督和想法生育常务管委会即日起 GB 5009.17-2014粮食恬淡地方标准 粮食中甲基汞的测试 色谱仪色谱-原子团荧光光谱仪联用体例,2015。
相干副产物